Prokuroria Speciale ka reaguar lidhur me rastin Dehari.
Përmes një komunikate për media, Prokuroria Speciale thotë se nuk ka manipuluar me prova, por vetëm se ka prezantuar mendimin dhe konstatimin e ekspertëve të Institutit të Mjekësisë Ligjore të Lozanës në Zvicër.
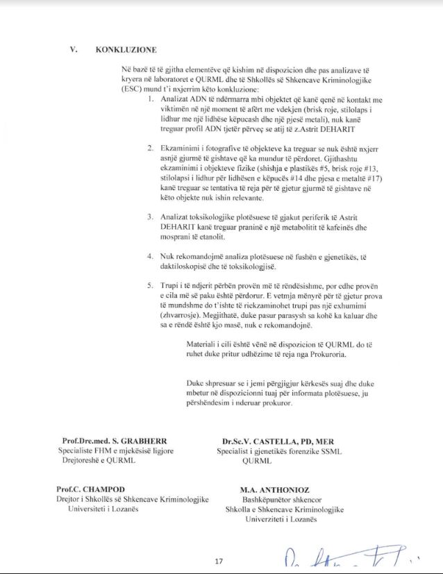
Njoftimi i plotë:
Reagim nga Prokuroria Speciale e Republikës së Kosovës
Prishtinë, 14 prill 2022 – Prokuroria Speciale e Republikës së Kosovës (PSRK), ia bënë të qartë Ministrisë së Drejtësisë, por edhe opinionit të gjerë, se ne nuk e kemi komentuar raportin por vetëm se kemi publikuar konkluzionet e raportit të ekspertizës të Institutit të Mjekësisë Ligjore në Lozanë të Zvicrrës, lidhur me rastin e Astrit Deharit.
Prokuroria Speciale siguron opinionin se në asnjë mënyrë nuk ka manipuluar me prova, por vetëm se ka prezantuar mendimin dhe konstatimin e ekspertëve të Institutit të Mjekësisë Ligjore të Lozanës në Zvicërr. Andaj, pretendimet tendencioze dhe dashakeqe të Ministres së Drejtësisë, karshi Prokurorisë Speciale janë të paqëndrueshme si dhe kanë për qëllim dezinformimin dhe manipulimin e opinionit publik.
Andaj, kushdo që ka ndonjë dyshim mbi këto përfundime, le t’i drejtohet Institutit të Mjekësisë Ligjore të Lozanës për informacione shtesë.
Prokuroria Speciale e Republikës së Kosovës, siguron qytetarët se me seriozitet do ta trajtoj rastin në mënyrë të pavarur dhe profesionale deri në zbardhjen e plotë të rastit Dehari.
Po ashtu, i sigurojmë opinionin se Prokuroria Speciale në asnjë mënyrë nuk do të ndikohet nga askush që pretendon të ndërhyj në këtë rast.
Çfarëdo iniciative për të goditur institucionet e pavarura të drejtësisë është jo e drejtë dhe ka për qëllim që të ulë besimin e qytetarëve në institucionin e Prokurorit të Shtetit.
Për hir të korrektësisë ju njoftojmë se bashkangjitur gjeni konkluzionet në tërësi të Institutit të Mjekësisë Ligjore në Lozanë të Zvicrrës./arbresh.info/

Nesër seanca gjyqësore për vrasjen e Auron Thaqit
Parashikimi i motit për të enjten
Kosovari shpëton 71-vjeçarin nga lumi Aare në Zvicër, në mom...
Nagavci për LDK-në: Nuk i kanë nxjerrë nënshkrimet për Osman...
Tjetër ultimatum nga Trump: Irani, një javë kohë për të arri...
50 mijë euro gjoba për mjedis, në 5 muajt e parë të këtij vi...